About Us
Contact Us
01494 438 054
Facebook
Twitter
Home
Products & Services
Solar PV
Battery Storage Solutions
Accessories
Mounting systems
Premium Installers
Blog
Case Study
News
Solar PV
Sustainable Energy
Technology
UK
World
FAQ
Testimonials
View All
Bedfordshire
Berkshire
Buckinghamshire
Cambridgeshire
Essex
Gloucestershire
Hampshire
Hertfordshire
Isle of Wight
Kent
London
Northamptonshire
Oxfordshire
Somerset
Surrey
Warwickshire
West Sussex
Information
Company Info
About Us
Contact Us
Welcome
Other Info
Feed-In Tariff
Installations Video
What's In It For Me?
On The Blog
Contact Us
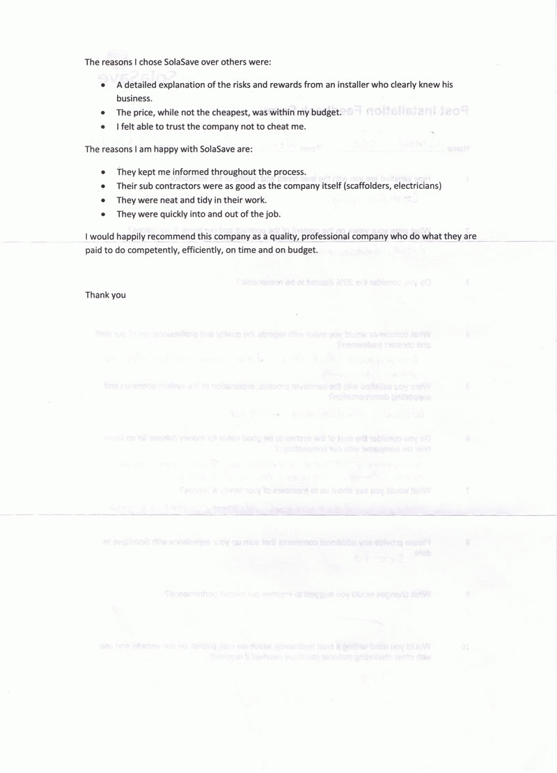
Solar Panel Installation High Wycombe Buckinghamshire HP13 19
Project Details
16 x Hyundai (Black) 250Wp Monocrystalline PV panels & SMA SB-3600TL Inverter
Client:
Mr C
November 2012